首页 产品中心 直角轴减速机 FAT-F系列
< >
FAT-FL1系列

全国服务热线:180-1355-6827

在线咨询
  • 产品特性
  • 技术参数
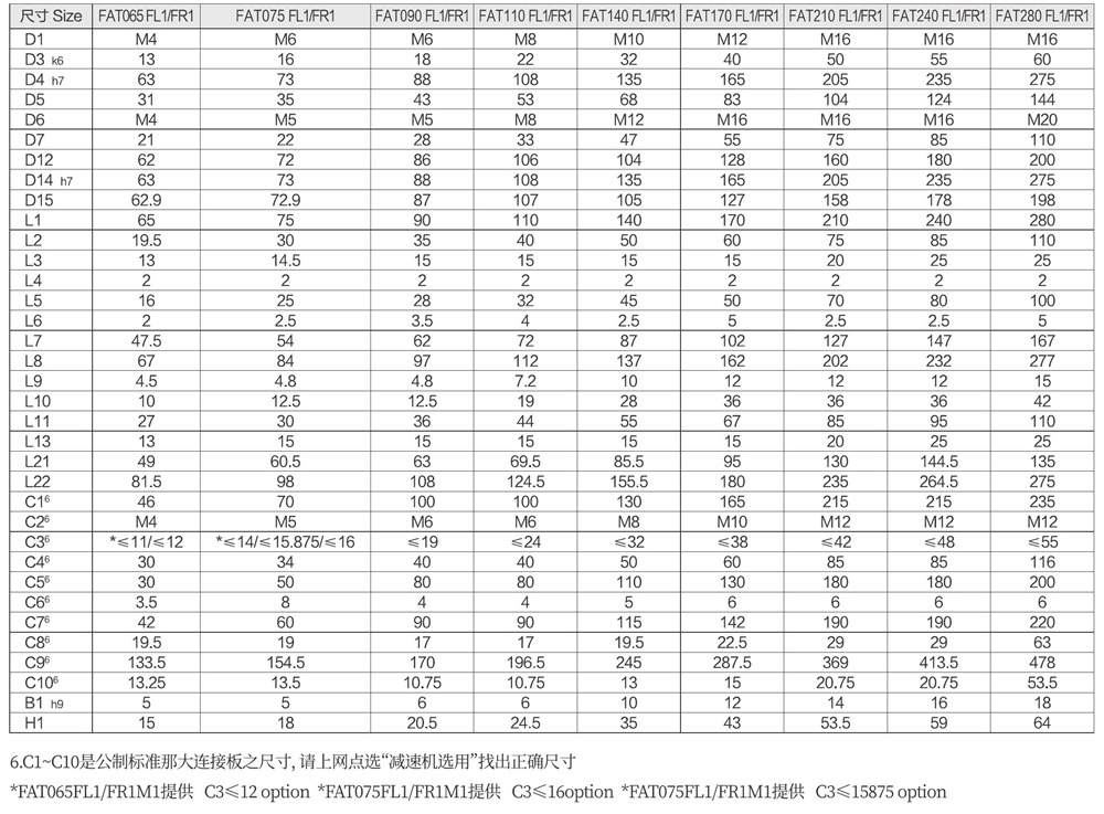
  • 外形尺寸
  • 安装说明
  • 资料下载

    FAT-1_03.jpg

    FAT-1_05.jpg

    FAT-F7_06.jpg

    FAT-FL1_08.jpg

    FAT-FL1_09.jpg


    FAT-FL1_10.jpg

    FAT-FL1_03.jpg

    FAT-FL1_06.jpg

    FAT-FL1_07.jpg

二维码

微信二维码

网站二维码

  • 电 话:180-1355-6827

  • 邮 箱:famait@126.com

  • 地 址:上海市奉贤区南桥镇国顺路936号5幢

版权所有 :法迈特减速机 备案号:苏ICP备20010989号-2   沪公网安备31012002006694号 技术支持: 易动力网络